https://www.bettycjung.net/Womenhealth6.htm

Heart Disease & Stroke



Consumer Health Info Index


Main Page
General Info Life Cycle Issues Maternal & Child Health Health Issues Breast & Other Female Cancers Heart Disease

Female Heart Disease Deaths 2015-2017
Map graphic: https://www.cdc.gov/heartdisease/women.htm

Women and Heart Disease, 2011-2013
Map source: https://www.cdc.gov/dhdsp/data_statistics/fact_sheets/fs_women_heart.htm

Women and Heart Disease, 2000-2006, CDC, BRFSS


Search Betty C. Jung's Web site

Custom Search

Search the Entire Internet

Custom Search

This page is dedicated to Jadwiga Goclowski, PhD, RN, for raising my awareness of the importance in taking care of ourselves before we can take care of others, and for her tireless efforts and outstanding contributions in the fields of Quality Assurance and Maternal & Child Health.

The purpose of this page is to provide an organized approach to finding basic information about the most common preventable health problems that plague women. It is my hope that you will find what you need fast and easy. This is by no means exhaustive, but I have picked those sites that I consider to be reliable. If you have any suggestions about what else I can include, please do not hesitate to E-mail me your suggestions. SALUD!


Heart Disease


Information - General

Symptoms of heart in men and women
Graphic source: https://cosmosmagazine.com/health/taboos-around-womens-bodies-still-interfere-with-healthcare/

Female Heart 
Attack Symptoms
Graphic source: https://media4.s-nbcnews.com/j/newscms/2016_04/945936/heart-attack-symptoms-today-160125_f9ccecb62d87667da2b3c4ffde48a71d.today-inline-large.jpg

Gender Differences in Heart Risks
Graphic source: https://corporate.dukehealth.org/sites/corporate.dukehealth.org/files/Same%20Symptoms%2C%20Different%20Care%20for%20Women%20and%20Men%20With%20Heart%20Disease.png">

Gender Differences Heart Attack Symptoms
Graphic source: https://www.cdc.gov/heartdisease/signs_symptoms.htm

Women heart attack symptoms
Graphic source: https://www.webmd.com/heart-disease/news/20180319/scad-heart-attack-strikes-young-women

Corswo predictions
Graphic source: https://pubs.rsna.org/doi/10.1148/ryct.230381

Women heart attack symptoms
Graphic source: http://praharajheart.com/women-and-heart-disease-yes-gender-matters/

Information - Medical


Spontaneous coronary artery dissection, or SCAD

Research

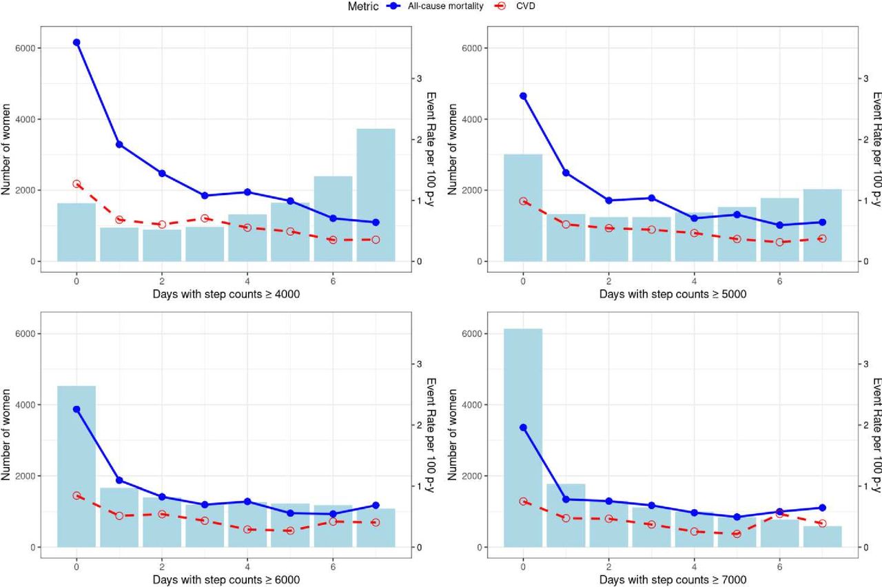
In a cohort of over 13,500 women with mean age ~72 years, >4,000 steps per day, at least 1-2 days per week, was associated with reduction in all-cause mortality and lower risk of cardiovascular disease

4000 steps
Graphic source: https://bjsm.bmj.com/content/early/2025/10/13/bjsports-2025-110311

Statistics

Support


Stroke



PUBLISHED ON THE WEB: July 26, 2003
R668
Comments, suggestions, dead link reports:

Links

Consumer Health Information Health Professional Resource Sites
Public Health Practice Search Engines Index

Back to Top

© Copyright 1999 - 2026 Betty C. Jung
All rights reserved.